问答

NEWS

乘法分配律和乘法结合律的定义 乘法的分配律和结合律

2026-01-15 22:53 399971

一、乘法分配律和乘法结合律的定义

1、在乘法的简算中要用到三个运算定律:

乘法的分配律和结合律

2、乘法结合律:两个数相乘,交换因数的位置,积不变。用字母表示a×b=b×a。

3、乘法结合律:三个数相乘,可以把前两个数相乘,再乘第三个数,也可以先把后两个数相乘,再乘第一个数,用字母表示是(a×b)×c=a×(b×c)。

4、乘法分配律:两个数的和同一个数相乘,可以把这两个加数分别同这个数相乘,再把两个积相加,结果不变。用字母表示:(a+b)×c=a×c+b×c。

5、一般在计算中这三个运算定律要相结合使用。

二、乘法交换律,乘法结合律和乘法分配律有什么区别

1、乘法交换率是a×b×c=a×c×b,例如,5×9×8=5×8×9,也可以更加简便的计算出结果。把八和九交换位置,可以使计算更加简单。你先算出5×8=40,再用40×9。你使计算变得非常简洁方便。

2、乘法结合律的公式是(a-b)×c,或者(a+c)×b,例如(10-9)×8 ,可以写成10×9-9×8更加简便的算出结果,加和减都适用。

3、乘法交换律,结合律,分配率,它们不同的地方就是在于它们的运算公式和运算方法。虽然他们都是不同的法则,但是他们都是为了让乘法计算更加的方便。

三、乘法分配律与乘法交换律,乘法结合律有什么不同

乘法分配律:两个数的和同一个数相乘,可以用这两个数分别同这个数相乘,并把所得的积相加。

用字母表示(a+b)c=ac+bc,当然根据乘法分配律可以把数推广到减法和几个数。例如::(40+4)×25=40×25+4×25 乘法交换律:两个数的乘法运算中,在从左往右计算的顺序,两个因数相乘,交换因数的位置,积不变。乘法交换律:a×b=b×a 两个数相乘,交换加数的位置,积不变,这叫做乘法的交换律。例如:5×8=8×5 乘法结合律:三个数相乘,可以先算前两个数的积,再乘第三个数,也可以先算后两个数的积,再乘第一个数,所得的结果不变。(a×b)×c=a×(b×c) 例如:(8×125)×25=25×(125×8)

四、交换律、结合律、分配率,乘法交换律、结合律、分配率公式是什么

1、乘法交换律:在两个数的乘法运算中,在从左往右计算的顺序,两个因数相乘,交换因数的位置,积不变。 乘法交换律公式:a×b=b×a

2、乘法结合律:三个数相乘,先把前两个数相乘,再和另外一个数相乘,或先把后两个数相乘,再和另外一个数相乘,积不变。 乘法结合律公式(a×b)×c=a×(b×c)

3、乘法分配律:两个数的和与一个数相乘,可以先把它们分别与这个数相乘,再将积相加。 乘法分配律公式:(a+b)×c=a×c+b×c

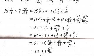
五、分数乘法交换律和结合律分配律

1、乘法交换律:两个数相乘,交换因数的位置,积不变。ab=ba

2、乘法结合律:三个数相乘,可以先乘前两个数,或者先乘后两个数,积不变。

3、(ab)c=a(bc)

4、分配律:分配律是乘法运算的一种简便运算,可用于分数、小数中。

5、主要公式为(a+b)c=ac+bc。两个数的和与一个数相乘,可以先把它们分别与这个数相乘,再相加,积不变,这叫做乘法分配律。

6、加法交换律:两个数相加,交换加数的位置,和不变。

7、a+b=b+a

猜你喜欢

扫描二维码

手机扫一扫添加微信

010-88888888 扫描微信 99999999